Anunț privind rezultatele evaluării administrative
Concursul planurilor de afaceri
Proiect: PIDS – Antreprenoriat cu impact social
Cod SMIS: 316178
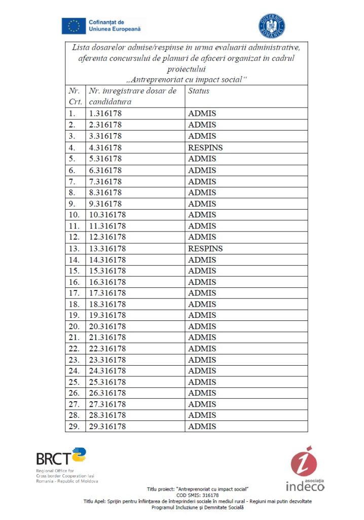
Asociația Biroul Regional pentru Cooperare Trnasfrontalieră Iași, în calitate de Beneficiar al proiectului „ Antreprenoriat cu impact social” (cod SMIS 316178), publică rezultatele etapei de evaluare a eligibilității administrative aferente concursului planurilor de afaceri.
Evaluarea administrativă a avut ca scop verificarea respectării condițiilor de conformitate și eligibilitate formală, în conformitate cu prevederile Metodologiei de concurs.
În urma procesului de evaluare, fiecare plan de afaceri a fost analizat în baza grilei de verificare administrativă. Candidații au fost declarați:
Admis, în cazul în care documentația a fost completă și conformă cu cerințele metodologiei;
Respins, în cazul în care au fost identificate neconformități sau lipsuri majore care nu permit trecerea în etapa tehnico-financiară.
Lista detaliată a rezultatelor poate fi consultată în tabelul anexat prezentului anunț.
📌 Candidații declarați admiși vor intra în etapa următoare – evaluarea tehnico-financiară a planurilor de afaceri, conform calendarului publicat în metodologie.



